• Решите пожалуйста пример


    (Решение на фото есть, но оно не верное, я полагаю)

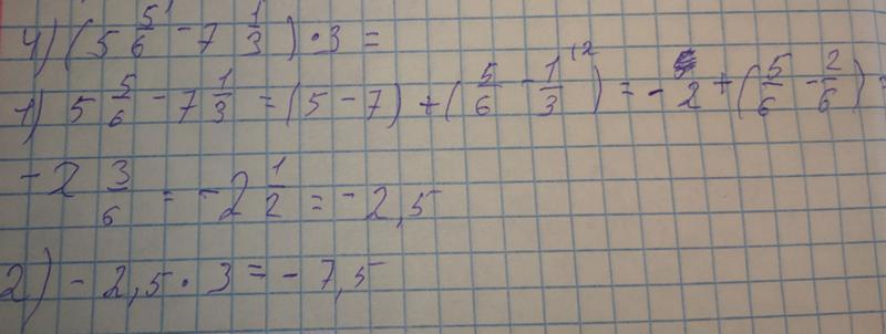
    question img

Ответы 2

  • 4,5 вот это ответ на пример
  •  (5 5/6 - 7 1/3)*3 =4,5 1)5 5/6 - 7 2/6 = 1 3/6 (т.к. у 7 забрали еденицу) 2) 1 3/6* 3= 9/6*3=9/2=4,5 
    • Автор:

      virginia
    • 6 лет назад
    • 0
  • Добавить свой ответ

Войти через Google

или

Забыли пароль?

У меня нет аккаунта, я хочу Зарегистрироваться

How much to ban the user?
1 hour 1 day 100 years