• Представьте выражение в виде степени с основанием с

    question img
    question img

Ответы 1

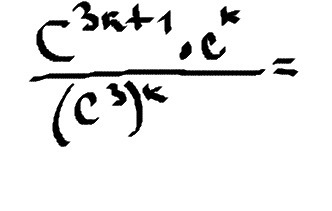
  •  \frac{c^{k+5}*c^k}{(c^2)^k} = \frac{c^{2k+5}}{c^{2k}} =c^5 \frac{c^{3k+1}*c^k}{(c^3)^k} = \frac{c^{4k+1}}{c^{3k}} =c^{4k+1-3k}=c^{k+1}
    • Автор:

      evavjv4
    • 6 лет назад
    • 0
  • Добавить свой ответ

Войти через Google

или

Забыли пароль?

У меня нет аккаунта, я хочу Зарегистрироваться

How much to ban the user?
1 hour 1 day 100 years