• ПОМОГИТЕ РЕШИТЬ ПОЖАЛУЙСТА ОЧЕНЬ СРОЧНО ДАЮ МАКСИМАЛЬНЫЙ БАЛЛ

    question img

Ответы 1

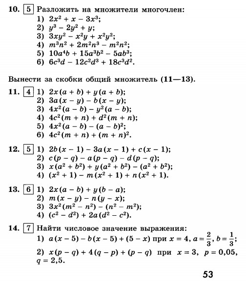
  • пишу сразу ответы@101) x(2x-1-3x^2)2) y(y^2-2y+1)3) xy(3y-x+xy)4) m^2n^2(m+2n-1)5) 5ab(2a^3+3a^2b-b^2)6) 6c^2d(c-2d^2+3cd)@111)(2x+y)(a+b)2)(3a-b)(x-y)3)(4x^2-y^2)(a-b)4)(4c^2+d^2)(m+n)не смогла решить 4 и 5 примеры@121)(2b-3a+c)(x-1)2)(c-a-d)(p-q)3)(x+y-1)(a^2+b^2)4)(1-m+n)(x^2+1)@131)(2x-y)(a-b)2)(m+n)(x-y)3)(3x^2+1)(m^2-n^2)4)(1-2a)(c^2-d^2)
    • Автор:

      ginger22
    • 6 лет назад
    • 0
  • Добавить свой ответ

Войти через Google

или

Забыли пароль?

У меня нет аккаунта, я хочу Зарегистрироваться

How much to ban the user?
1 hour 1 day 100 years