• помогите ,пожалуйста,решить
    С понятным объяснением

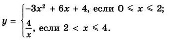
    question img

Ответы 1

  • Можно решить задание таким образом.1. Построить графики функций на одной координатной плоскости без учета указанной области определения. (1 рисунок)2. Удалить с графика те части, которые не входят указанную область определения каждого графика. (2 рисунок).
    answer img
    • Автор:

      nathanael
    • 5 лет назад
    • 0
  • Добавить свой ответ

Еще вопросы

Войти через Google

или

Забыли пароль?

У меня нет аккаунта, я хочу Зарегистрироваться

How much to ban the user?
1 hour 1 day 100 years