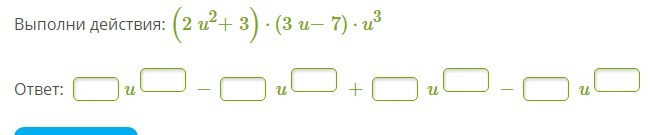
• ыполни действия: (2u2+3)⋅(3u−7)⋅u3

    question img

Ответы 1

  • (2u²+3)(3u-7)u³ = (6u³-14u²+9u-27)u³ = 6u⁶-14u⁵+9u⁴-27u³
  • Добавить свой ответ

Войти через Google

или

Забыли пароль?

У меня нет аккаунта, я хочу Зарегистрироваться

How much to ban the user?
1 hour 1 day 100 years