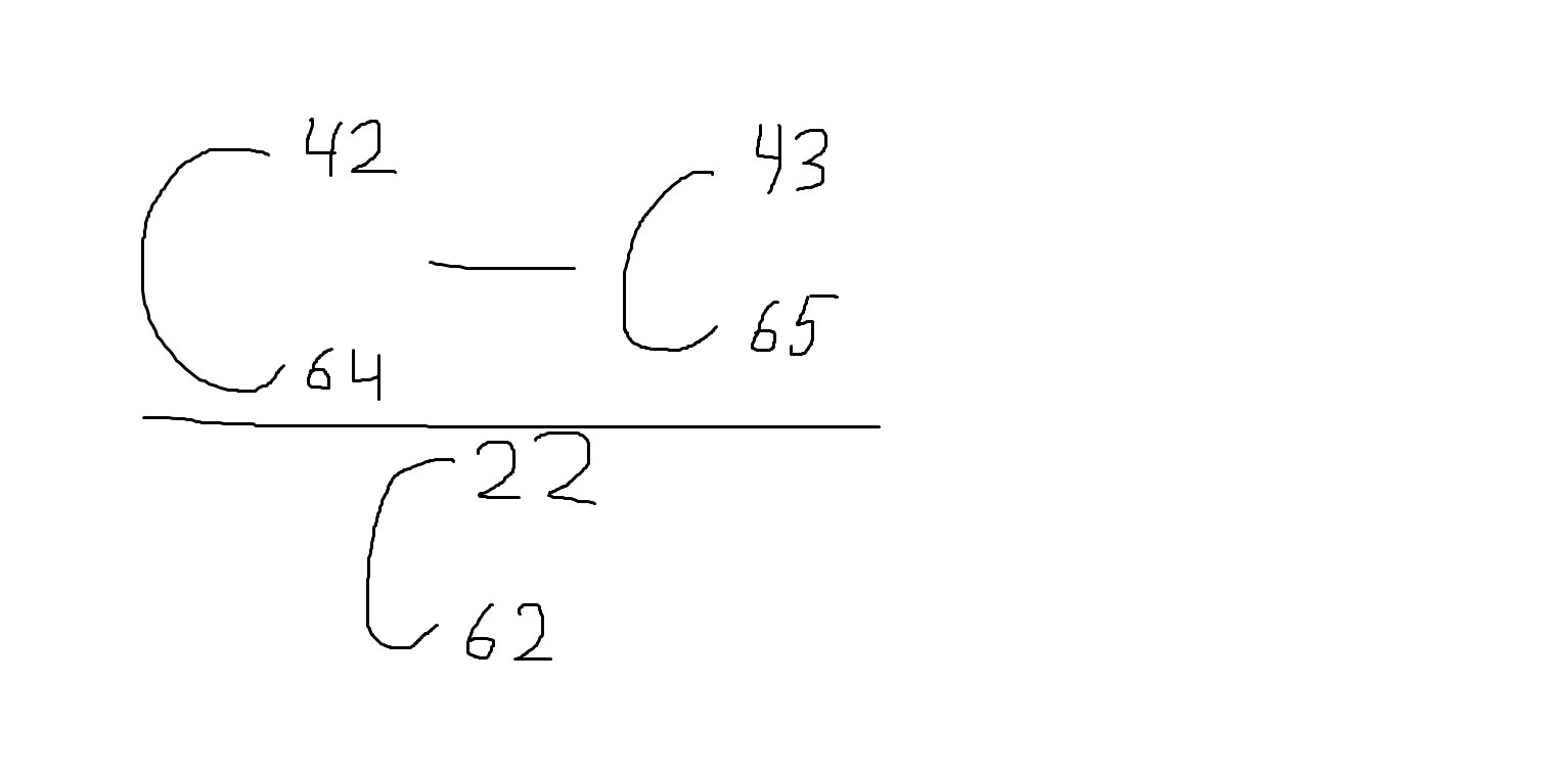
• Решить сочетание.Что-то очень большие числа получаются.Если ли способ решить проще?

    question img

Ответы 1

  • Решение....................
    answer img
    • Автор:

      sweeney
    • 6 лет назад
    • 0
  • Добавить свой ответ

Войти через Google

или

Забыли пароль?

У меня нет аккаунта, я хочу Зарегистрироваться

How much to ban the user?
1 hour 1 day 100 years