• Пожалуйста помогите решить!

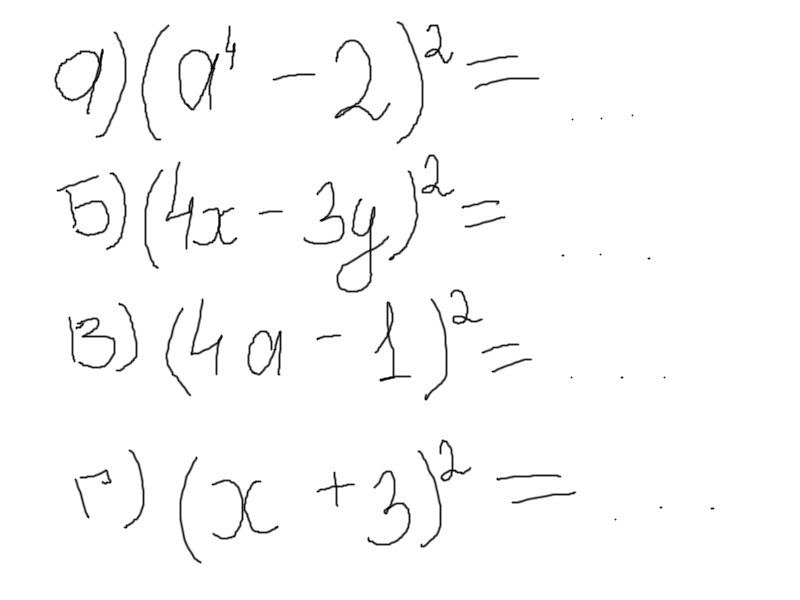
    Представьте квадрат двучлена в виде многочлена:

    question img

Ответы 3

  • Благодарю!
  • Не забудь отметить как лучший ответ)
    • Автор:

      charles20
    • 6 лет назад
    • 0
  • (a⁴-2)²=(a⁴)-2a⁴*2+2²=a⁸-4a⁴+4__________________________(4x-3y)²=(4x)²-2*4x*3y+(3y)²=16x²-24xy+9y²__________________________(4a-1)²=(4a)²-2*4a*1+1²=15a²-8a+1__________________________(x+3)²=x²+2x*3+3²=x²+6x+9__________________________
    • Автор:

      rebekah
    • 6 лет назад
    • 0
  • Добавить свой ответ

Войти через Google

или

Забыли пароль?

У меня нет аккаунта, я хочу Зарегистрироваться

How much to ban the user?
1 hour 1 day 100 years