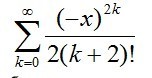
• Составить рекуррентную формулу для следующего ряда. Я пробовал решать (рисунок 2), но запутался. Объясните, как составить рекуррентную формулу для данного ряда. Заранее благодарен!

    question img
    question img

Ответы 1

  • для получения рекуррентной формулы нужно выразить член ряда через предыдущие (и, возможно, номер) a_{k+1}= \frac{ (-x)^{2(k+1)} }{2(k+3)!}  =  \frac{(-x)^{2k} (-x)^{2} }{2(k+2)!(k+3)}  a_{k}=  \frac{(-x)^{2k}}{2(k+2)!}a_{k+1}=  a_{k} }   \frac{ (-x)^{2} }{(k+3)} теперь возьмем член с k=1 a_{1}= \frac{ (-x)^{2} }{2*3!}  отсюда (-x)^{2} = a_{1} *2*3!подставляя, получим a_{k+1}= a_{k}  a_{1}  \frac{2*3!}{(k+3)} это и есть рекуррентная формула
    • Автор:

      chico11
    • 6 лет назад
    • 0
  • Добавить свой ответ

Войти через Google

или

Забыли пароль?

У меня нет аккаунта, я хочу Зарегистрироваться

How much to ban the user?
1 hour 1 day 100 years