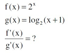
• помогите решить
    в ответе написано 2^x(x+1)
    но я не понимаю
    почему ?

    question img

Ответы 1

  • все таки такой ответ . спасибо за помощь
    • Автор:

      solomon16
    • 6 лет назад
    • 0
  • Добавить свой ответ

Еще вопросы

Войти через Google

или

Забыли пароль?

У меня нет аккаунта, я хочу Зарегистрироваться

How much to ban the user?
1 hour 1 day 100 years