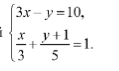
1)3x-y=10
2) x/3+(y+1)/5=1
1)9x-3y=30
+
2)5x+3y+3=15
3)14x=42
x=3
y=-1
Автор:
foxy mamas0yk{y=3x-10
{x/3-(y+1)/5=1
(5x-9x+27)/15=1
5x-9x+27=15
4x=12
x=3
y=-1
Автор:
hot pepperofpaДобавить свой ответ
Вычислить площадь фигуры ограниченной линиями y=x^2 ; y=sqrt(x)
Предмет:
АлгебраАвтор:
gracelynwuОтветов:
Смотреть
рекодсмен за 24 часа поднял груз общей массой 367,7 т на высоту 2 м.какую среднюю мощность он развивал?
Предмет:
ФизикаАвтор:
fergieloveОтветов:
Смотреть
преобразуйте выражение (4-а)(3а+5)-(5-2а)(5+2а) в многочлен стандартного вида
СРОЧНО НУЖНЫ ПРИМЕРЫ ИЗ ЛИТЕРАТУРЫ В ПОДТВЕРЖДЕНИЕ РАСКРЫТОЙ ТЕМЫ
Пустой тратой времени являются попытки оценить взаимоотношения, кропотливо и пристально анализируя то, что нас разъединяет. Основным все-таки является другой вопрос, на который мы должны найти ответ, если хотим улучшить или спасти наши отношения: «Что нас обьединяет?» Мудрые справедливо говорили, что наши отношения с другими людьми будут длиться столько же, сколько будет существовать то, что нас объединяет. Если нас связывают дом, дача, деньги, внешняя привлекательность, сексуальное влечение или любые другие краткосрочные вещи, которые сегодня есть, а завтра нет, то с первыми же проблемами в этой сфере будут поставлены под угрозу и наши взаимоотношения. Связи, в которых людей уже ничего не объединяет, похожи на потемкинские деревни, где внешне, кажется, все нормально, но за красивым фасадом — одни проблемы и пустота. Часто такие формальные связи хуже одиночества.
Людей объединяют совместно пережитые трудности и кризисные моменты. Если в преодолении препятствий, в поиске решений все стороны в одинаковой мере прилагают усилия и сражаются за то, чтобы стало лучше, это не только укрепляет любые отношения, но и рождает новые, более глубокие, удивительные состояния души, открывающие новые горизонты и направляющие развитие событий в совсем иное русло.
Нужно научиться делать первый шаг, не теряя при этом самого себя и своего внутреннего достоинства. Для взаимоотношенийнужны двое, и любой наш шаг должен вызвать резонанс, отклик другого человека, за которым последует его реакция, его ответные шаги нам навстречу. Если после наших продолжительных усилий такого не случается, то напрашивается один из выводов: либо мы делаем неверные шаги, либо наши взаимоотношения строятся на зыбкой почве, ибо держатся только на одном человеке и один человек пытается тащить на себе все, а это уже абсурдно и искусственно.
Для успеха любых взаимоотношений нужно, чтобы обе стороны пытались преодолеть чувство собственничества и эгоизма. Очень часто мы не видим индивидуальности, уникальности людей, которых любим, и продолжаем рассматривать их как отражение наших собственных взглядов, требований, представлений о том, какими они должны быть. Мы не должны пытаться воспитывать и переделывать людей по своему образу и подобию. Любовь требует ощущения воздуха и свободы души. Люди, разделяющие ее, не растворяются друг в друге и не теряют своей индивидуальности; они похожи на две колонны, поддерживающие крышу одного храма.
Предмет:
ЛитератураАвтор:
jakobegygeОтветов:
Смотреть