• Первое задание:
    Замените звездочки такими одночленами чтобы получилось тождество
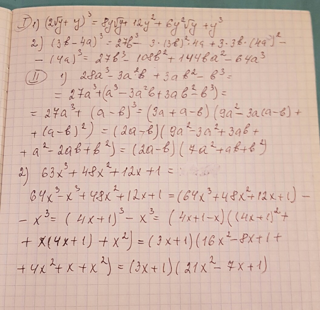
    1)(*+y)^3=*+*+12y^2+*
    2)(3b-*)^3=*-*+*-64a^3
    Второе задание:
    Разложите на множители многочлен
    1)28a^3-3a^2b+3ab^2-b^3
    2)63x^3+48x^2+12x+1
    Проверьте только правильно ли вы пишите!

Ответы 1

  • решение задания смотри на фотографии
    answer img
  • Добавить свой ответ

Войти через Google

или

Забыли пароль?

У меня нет аккаунта, я хочу Зарегистрироваться

How much to ban the user?
1 hour 1 day 100 years