• Тема "Комплексные числа" 11 класс. Решите, пожалуйста.

    question img

Ответы 1

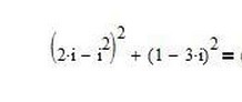
  • (2i-i²)²+(1-3i)²= (2i)²-2*2i*i²+(i²)²+1²-2*1*3i+(3i)²==4(-1)-4i³+i⁴+1-6i+9(-1)=-4+4i+1+1-6i-9= -11-2i
  • Добавить свой ответ

Войти через Google

или

Забыли пароль?

У меня нет аккаунта, я хочу Зарегистрироваться

How much to ban the user?
1 hour 1 day 100 years