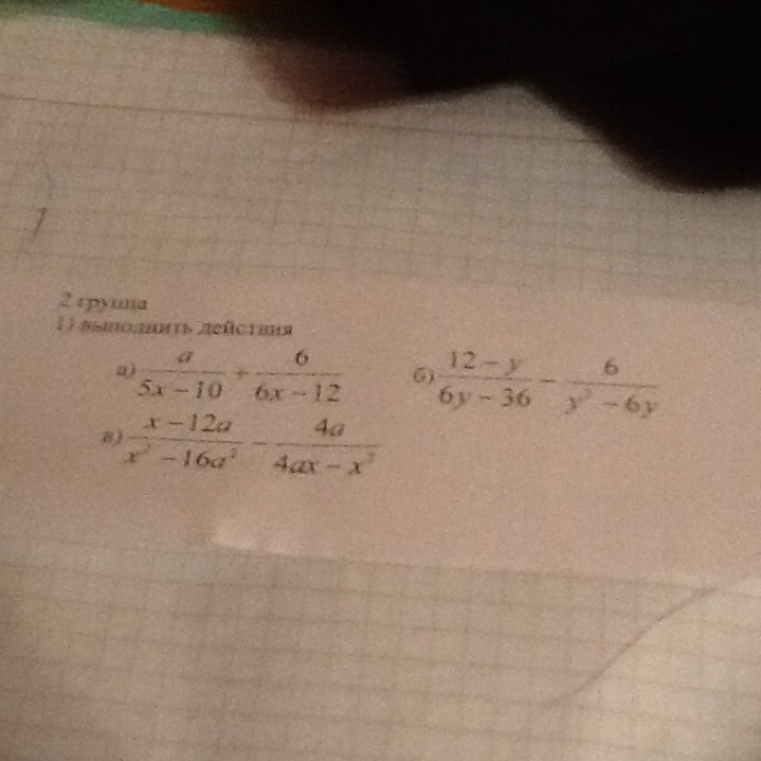
• a/5x-10+6/6x-12; 12-y/6y-36-6/y^2-6y; x-12a/x^2-16a^2-4a/4ax-x^2; РЕШИТЕ ПОЖАЛУЙСТА

    question img

Ответы 1

  • Сама решала?)
  • Добавить свой ответ

Войти через Google

или

Забыли пароль?

У меня нет аккаунта, я хочу Зарегистрироваться

How much to ban the user?
1 hour 1 day 100 years