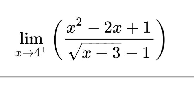
• ПОМОГИТЕ РЕШИТЬ ПРЕДЕЛ СРОЧНО!!
    ФОТО ВО ВЛОЖЕНИИ

    question img

Ответы 1

  • ответ скинул в личку)
    • Автор:

      kareem
    • 6 лет назад
    • 0
  • Добавить свой ответ

Еще вопросы

Войти через Google

или

Забыли пароль?

У меня нет аккаунта, я хочу Зарегистрироваться

How much to ban the user?
1 hour 1 day 100 years