• Помогите срочно решить! Все 4 примера! Буду очень благодарна!

    question img

Ответы 2

  • 2. Неправильно сократили
    • Автор:

      wags
    • 5 лет назад
    • 0
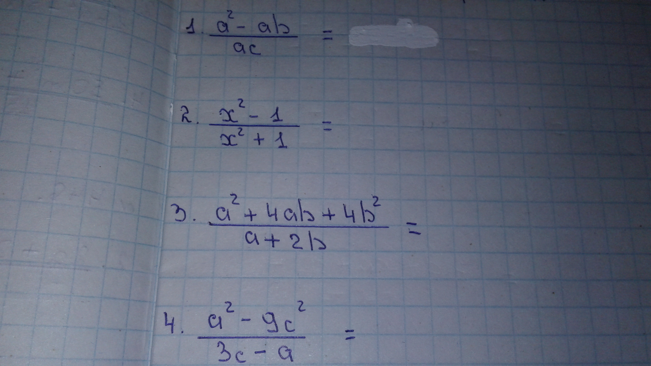
  • 1) а(а–b) a–b ---------- = ------- ac c2) (x–1)(x+1) ------------- x^2+13) (a+2b)^2 ------------- = a+2b a+2b4) a^2–9c^2 (a–3c)(a+3c) -------------- = ------------------ = –a–3c 3c–a -(a–3c)
    • Автор:

      klausacpb
    • 5 лет назад
    • 0
  • Добавить свой ответ

Войти через Google

или

Забыли пароль?

У меня нет аккаунта, я хочу Зарегистрироваться

How much to ban the user?
1 hour 1 day 100 years