• Помогите пожалуйста.
    Не понимаю третьє задание. Срочно нужно качественно подготовиться к контрольной. Откуда такое решение в готовых заданиях - ума не приложу.
    Прошу, объясните гуманитарию.

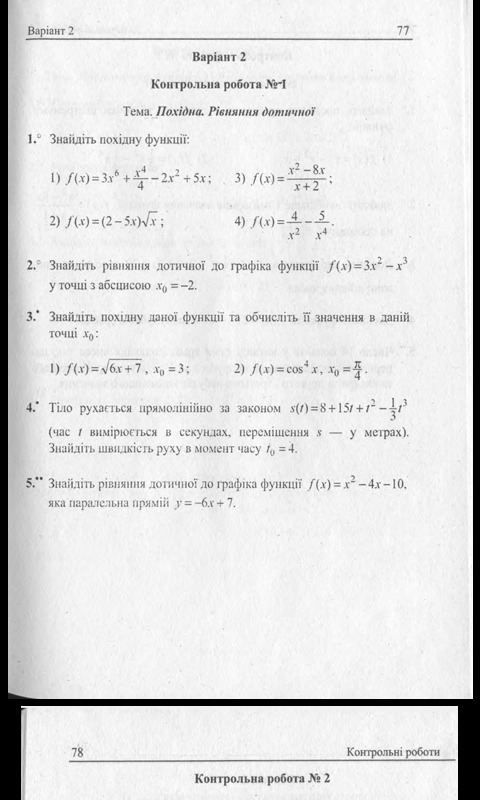
    question img
    question img

Ответы 3

  • Все равно спасибо
    • Автор:

      soler
    • 5 лет назад
    • 0
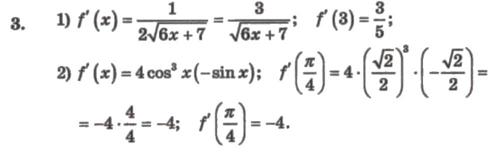
  • В ответах к 1 заданию у вас, видимо ошибка, не иначе.При решении, второе сошлось. В нем используется решение с помощью замены.
    answer img
  • F'(x)=1/10F'(x)= 4cos^3 n/4( -sin n/4) = -4
    answer img
  • Добавить свой ответ

Еще вопросы

Войти через Google

или

Забыли пароль?

У меня нет аккаунта, я хочу Зарегистрироваться

How much to ban the user?
1 hour 1 day 100 years