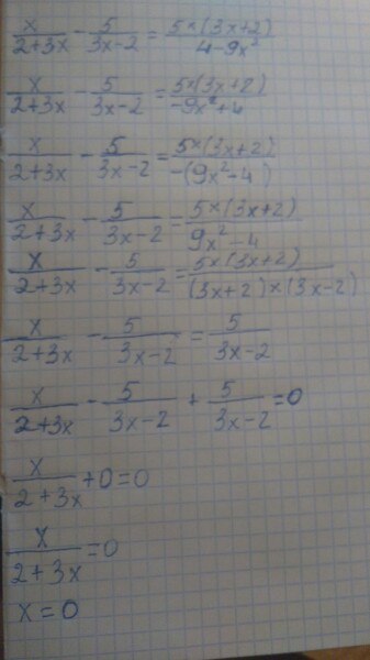
x/2+3x - 5/3x-2...
Предмет:
Автор:
Добавить свой ответ
Ответов:
Смотреть
Fedoseewa27
Askold
Pikachu
hobbesbowers
kaylynnbarron676
女fei
yulia-kaplina
Poinntt
Bars
Queenmagic18
Войти через Google
Забыли пароль?
У меня нет аккаунта, я хочу Зарегистрироваться