• Разложите на множители! Срочно! Поставлю лучший.....

    question img

Ответы 1

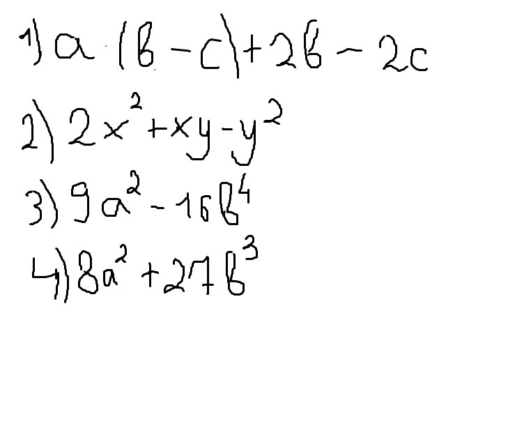
  • 1) а(в-с)+2в-2с= а(в-с)+2(в-с)= (а+2)(в-с)Дальше не соображу
  • Добавить свой ответ

Войти через Google

или

Забыли пароль?

У меня нет аккаунта, я хочу Зарегистрироваться

How much to ban the user?
1 hour 1 day 100 years