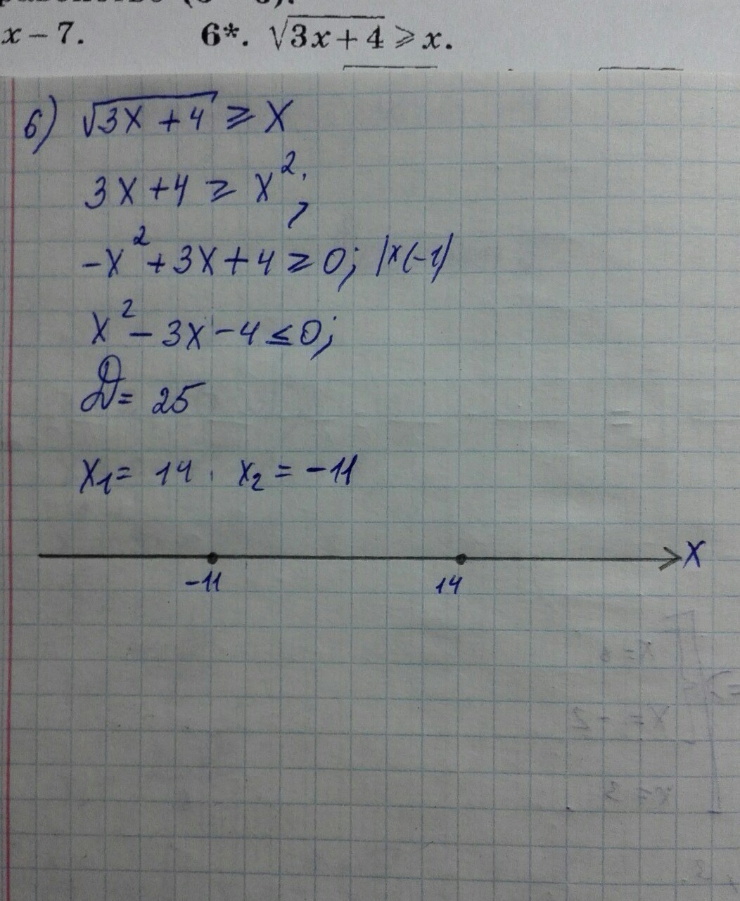
• Проверьте пожалуйста и скажите где ошибка. Нужно решить неравенство

    question img

Ответы 1

  • X1=4, X2=-1А значит где -11, там -1Где 14, там 4, Сначала знак плюс, минус, плюсВыбираешь промежуток, где минусОтвет будет:[-1:4]
    • Автор:

      malone
    • 6 лет назад
    • 0
  • Добавить свой ответ

Войти через Google

или

Забыли пароль?

У меня нет аккаунта, я хочу Зарегистрироваться

How much to ban the user?
1 hour 1 day 100 years