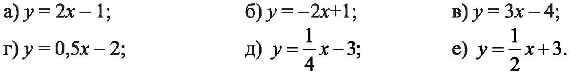
• Составьте таблицу со значениями, соответствующими функциям, заданным формулами, и постройте график. Какая фигура является графиком этих функций? Координаты скольких точек достаточно знать, чтобы построить график линейной функции? Почему?

    question img

Ответы 2

  • думаешь зачем я сюда пишу?
    • Автор:

      sugar8ofn
    • 6 лет назад
    • 0
  • графиками этих функций является прямая, что бы посьройть прямую надо знать 2, точки потому что через любых 2 точки можно провести только одну прямую 
  • Добавить свой ответ

Еще вопросы

Войти через Google

или

Забыли пароль?

У меня нет аккаунта, я хочу Зарегистрироваться

How much to ban the user?
1 hour 1 day 100 years