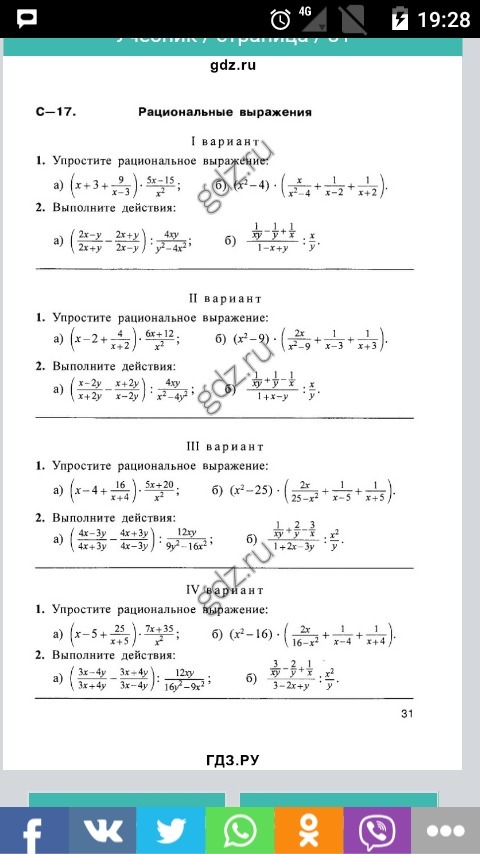
• 4 вариант
    помогите, пожалуйста, срочно
    только если можно по фото
    номер 1.
    а и б

    question img

Ответы 2

  • Спачибо вам огромное! Очень выручили:)
    • Автор:

      case9
    • 6 лет назад
    • 0
  • Ответ во вложении, удачной учебы)))
    answer img
  • Добавить свой ответ

Войти через Google

или

Забыли пароль?

У меня нет аккаунта, я хочу Зарегистрироваться

How much to ban the user?
1 hour 1 day 100 years