• помогите буду премного благодарна решить неравенство

    question img

Ответы 1

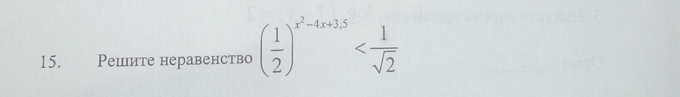
  • ( \frac{1}{2} )^{ x^{2} -4x+3.5}\ \textless \  \frac{1}{ \sqrt{2} } ( \frac{1}{2} )^{ x^{2} -4x+3.5}\ \textless \  (\frac{1}{{2} })^{0.5} { x^{2} -4x+3.5}\ \textgreater \ {0.5} { x^{2} -4x+3.5}-0.5\ \textgreater \ {0 { x^{2} -4x+3\ \textgreater \ {0 { x^{2} -4x+3=0D=(-4)^2-4*1*3=4x_1= \frac{4+2}{2} =3x_2= \frac{4-2}{2} =1(x-3)(x-1)\ \textgreater \ 0      +               -                 +----------(1)----------(3)------------////////////                   /////////////x ∈ (- ∞ ;1) ∪ (3;+ ∞ )
  • Добавить свой ответ

Войти через Google

или

Забыли пароль?

У меня нет аккаунта, я хочу Зарегистрироваться

How much to ban the user?
1 hour 1 day 100 years