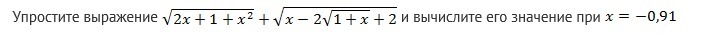
• Упростите выражение  и вычислите его значение Подробно
    Пожалуйста.

    question img

Ответы 2

  • Спасибо!
    • Автор:

      rayxq1c
    • 5 лет назад
    • 0
  • ......................
    answer img
    • Автор:

      hodges
    • 5 лет назад
    • 0
  • Добавить свой ответ

Войти через Google

или

Забыли пароль?

У меня нет аккаунта, я хочу Зарегистрироваться

How much to ban the user?
1 hour 1 day 100 years