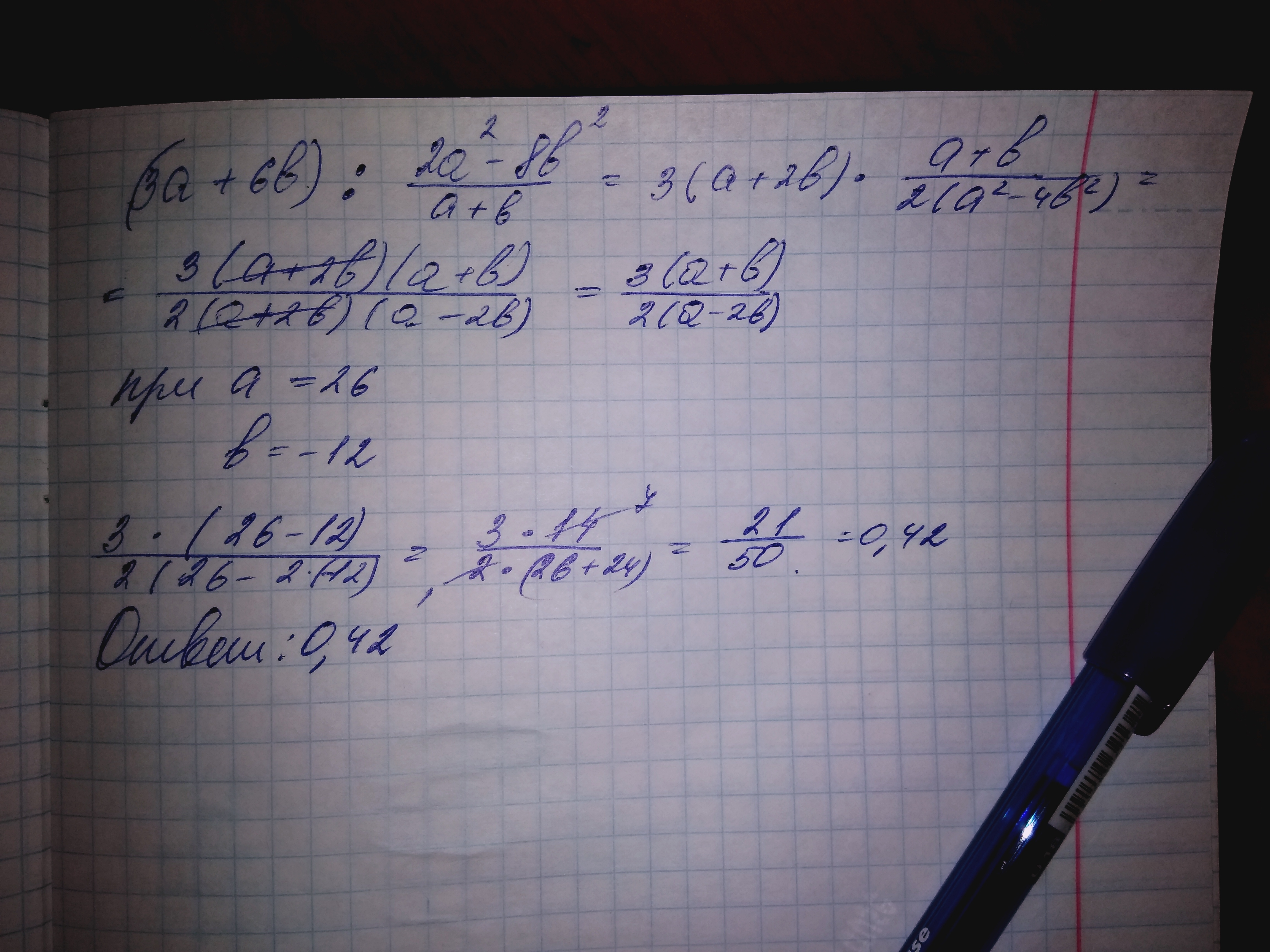
(3a+6b):2a²-8b...
Предмет:
Автор:
Добавить свой ответ
Ответов:
Смотреть
Fedoseewa27
Devilian
Pikachu
hobbesbowers
kaylynnbarron676
女fei
yulia-kaplina
Poinntt
Bars
Queenmagic18
Войти через Google
Забыли пароль?
У меня нет аккаунта, я хочу Зарегистрироваться