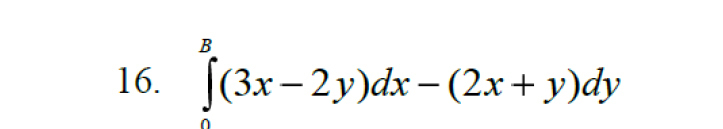
• Пожалуйста помогите даны криволинейный интеграл Р(x,y)dx + Q(x,y)dy и три точки O(0;0),
    А(2;0), В(2;4). Вычислить интеграл от точки О до точки В по трем различным путям: 1) по
    ломанной ОАВ; 2) по прямой ОВ; 3) по дуге ОВ параболы у =х2. Полученные результаты
    сравнить и объяснить их совпадение.

    question img

Ответы 1

  • Данный интеграл можно записать в виде ∫(3*x-2*y)*dx+(-2*x-y)*dy=∫P(x,y)*dx+Q(x,y)*dy. Так как частная производная dP/dy=-2 равна частной производной dQ/dx=-2, то подынтегральное выражение является полным дифференциалом некоторой функции u(x,y). А в этом случае величина криволинейного интеграла не зависит от формы пути.1. Вычислим интеграл по ломаной ОАВа) на пути ОА y=0⇒dy=0⇒∫P*dx+Q*dy=∫3*x*dx=3*x²/2, где 0≤x≤2. Подставляя эти пределы интегрирования, находим ∫P*dx=6.б) на пути АВ x=2⇒dx=0⇒∫P*dx+Q*dy=∫Q*dy=-∫(4+y)*dy=-4*y-y²/2, где 0≤y≤4. Подставляя эти пределы интегрирования, находим ∫Q*dy=-16-8=-24. Тогда ∫P*dx+Q*dy=∫P*dx+∫Q*dy=6-24=-18.2. Вычислим интеграл по прямой ОА.    Эта прямая имеет уравнение y=2*x⇒dy=2*dx и ∫P*dx+Q*dy=-∫9*x*dx=-9*x²/2, где 0≤x≤2. Подставляя пределы интегрирования, находим ∫P*dx+Q*dy=-9*4/2=-18.3) Вычислим интеграл по дуге параболы y=x². Тогда dy=2*x*dx и ∫P*dx+Q*dy=∫(3*x-2*x²)*dx-2*x*(2*x+x²)*dx=∫(3*x-2*x²-4*x²-2*x³)*dx=∫(3*x-6*x²-2*x³)*dx=3*x²/2-2*x³-x⁴/2, где 0≤x≤2. Подставляя пределы интегрирования, находим ∫P*dx+Q*dy=6-16-8=-18.Как видим, результаты действительно совпадают. 
  • Добавить свой ответ

Войти через Google

или

Забыли пароль?

У меня нет аккаунта, я хочу Зарегистрироваться

How much to ban the user?
1 hour 1 day 100 years