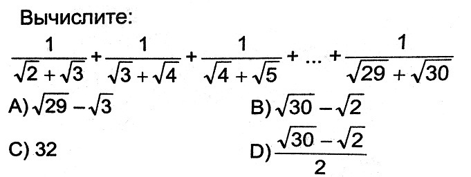
• Можете объяснить как решать подобные примеры? Решение не обязательно, просто вкратце объяснить суть если вас не затруднит. Заранее спасибо!

    question img

Ответы 1

  • 1)избавляемся от иррациональности в знаменателе;2)складываем подобные члены;1/(√2+√3) +1/(√3+√4) +...+1/(√29+√30)==(√2-√3)/(√2+√3)(√2-√3) +(√3-√4)/(3-4) +...+(√29-√30)/(29-30)==(√2-√3)/(-1)+(√3-√4)/(-1)+...+(√29-√30)/(-1)==-(√2-√3+√3-√4+√4-√5+...+√29-√30)= -(√2-√30)=√30-√2;
  • Добавить свой ответ

Войти через Google

или

Забыли пароль?

У меня нет аккаунта, я хочу Зарегистрироваться

How much to ban the user?
1 hour 1 day 100 years