• Пожалуйста помогите с примером! Уже долго не получается решить. Желательно с решением, т.к очень хочу понять свои ошибки. Заранее спасибо!!!

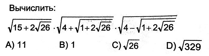
    question img

Ответы 2

  • Всегда пожалуйста)
  • Используй формулу сокращенного умножения -  разность квадратов: (a-b)(a+b) = a² - b²√(15+2√26)  * √(4 + √(1+2√26) )  * √(4-√(1+2√26)) =под общий корень := √( (15+2√26) *  (4+ √(1+2√26)) * (4 - √(1+2√26))) =свернем разность квадратов:= √( (15+2√26) *  (4² - (√(1+2√26))² ) == √ ((15+2√26) (16 - (1+2√26)) == √ ( (15+2√26)(16 - 1 - 2√26 ) )     == √( ( 15 +2√26)(15 - 2√26)) =свернем разность квадратов: = √ (15²  -  (2√26)² ) == √ (225- 104) == √121 = 11Ответ : а) 11 
    • Автор:

      shaw
    • 6 лет назад
    • 0
  • Добавить свой ответ

Войти через Google

или

Забыли пароль?

У меня нет аккаунта, я хочу Зарегистрироваться

How much to ban the user?
1 hour 1 day 100 years