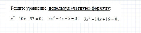
• СРОЧНО!!Решите уравнение используя "четную"формулу

    question img

Ответы 1

  • 1) х²-10x-37=0D=b²-4ac=-10²-4*1*(-37)=248x1=-b+√D/2a= 10+√248/2*1 x2=-b-√D/2a = 10-√248/22) 3x²-4x-5=0D=-4²-4*3*(-5) = 16+60=76x1=4+√76/2*3 = 4+√76/6x2=4-√76/63)3x²-14x+16=0D=-14²-4*3*16=196-192=4 √D=2x1=14+2/2*3=16/6x2=14-2/6=12/6=2
  • Добавить свой ответ

Войти через Google

или

Забыли пароль?

У меня нет аккаунта, я хочу Зарегистрироваться

How much to ban the user?
1 hour 1 day 100 years