• Помогите решить пожалуйста (25 баллов) ЕГЭ Профиль Математика

    question img

Ответы 1

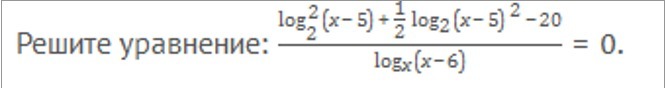
  • Так как дробь равна 0, если числитель равен 0 и знаменатель не равен 0,значит приравниваем числитель к нулю и решаем уравнение:log^2_{2}(x-5)+ \frac{1}{2} log_{2}(x-5)^2-20=0;   \\ 
log^2_{2}(x-5)+ \frac{1}{2} *2*log_{2}(x-5)-20=0; \\ 
log^2_{2}(x-5)+ log_{2}(x-5)-20=0; \\ 
 log_{2}(x-5)=t; \\ 
t^2+t-20=0; \\ 
D=1+80=81; \\ 
 t_{1}= \frac{-1-9}{2}=-5; \\ 
 t_{2}= \frac{-1+9}{2}=4; \\ 
 log_{2}(x-5)=-5; \\ 
 x-5= \frac{1}{32}; \\ 
x=5 \frac{1}{32}; \\ 
 log_{2}(x-5)=4; \\ 
x-5=16; \\ 
x=21.        
  ОДЗ:x-5>0;x>5;x>0;x-6>0;x>6.Ответ: 21.
    • Автор:

      chadkssp
    • 5 лет назад
    • 0
  • Добавить свой ответ

Войти через Google

или

Забыли пароль?

У меня нет аккаунта, я хочу Зарегистрироваться

How much to ban the user?
1 hour 1 day 100 years