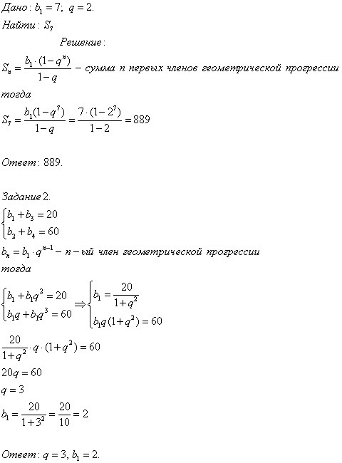
• 1.Найдите сумму первых семи членов геометрической прогрессии, если b1=7, q=2.
    2. Найдите b1 и q, если [tex] \left \{ {{ b1+b3=20} \atop {b2+b4=60}} ight. [/tex]

Ответы 1

  • ****************************************
    answer img
  • Добавить свой ответ

Войти через Google

или

Забыли пароль?

У меня нет аккаунта, я хочу Зарегистрироваться

How much to ban the user?
1 hour 1 day 100 years