• Вычислите:
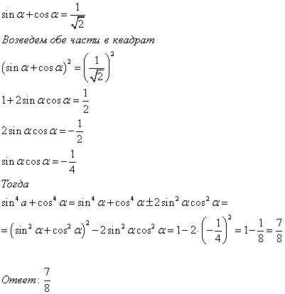
    sin^4a + cos^4a, если sina+cosa = 1/√2
    ПОМОГИТЕ ПОЖАЛУЙСТА!!!!

Ответы 1

  • ***************************
    answer img
  • Добавить свой ответ

Войти через Google

или

Забыли пароль?

У меня нет аккаунта, я хочу Зарегистрироваться

How much to ban the user?
1 hour 1 day 100 years