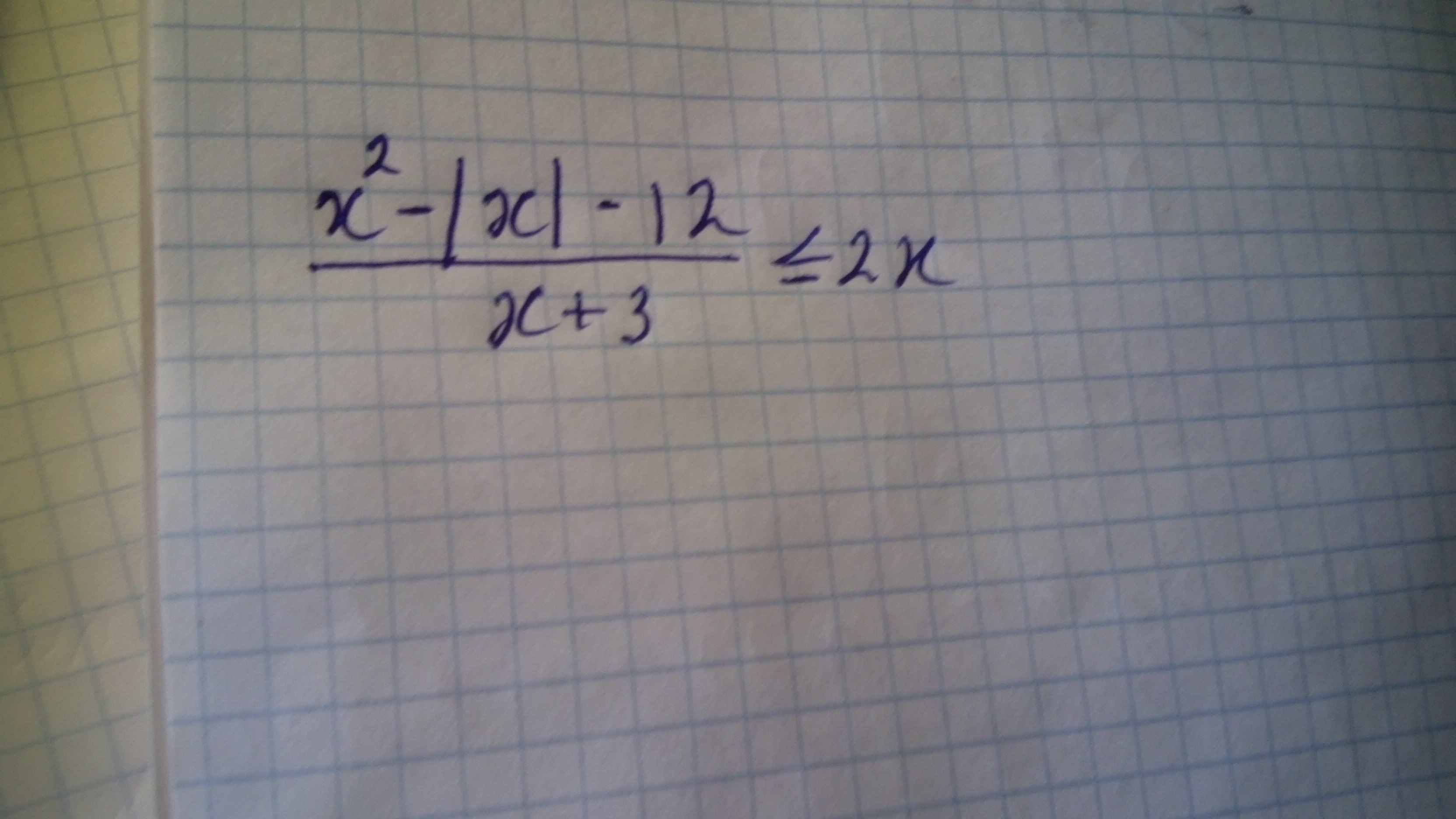
• Решить неравенство с модулем. (можно подробнее и на листочке)


    question img

Ответы 1

  • нужно раскрыть модуль по определению и решить две системы неравенств, в ответ взяв решения обеих систем...в одном случае получится квадратный трехчлен не имеющий корней и т.к. это парабола, ветви вверх, то этот трехчлен всегда будет принимать только положительные значения и на него можно дробь сократить)))во втором случае получатся две одинаковые скобки (x+3), которые тоже сокращаются и на решение не влияют, т.к. первое неравенство x≥0
    answer img
    • Автор:

      wyatthxj2
    • 5 лет назад
    • 0
  • Добавить свой ответ

Войти через Google

или

Забыли пароль?

У меня нет аккаунта, я хочу Зарегистрироваться

How much to ban the user?
1 hour 1 day 100 years