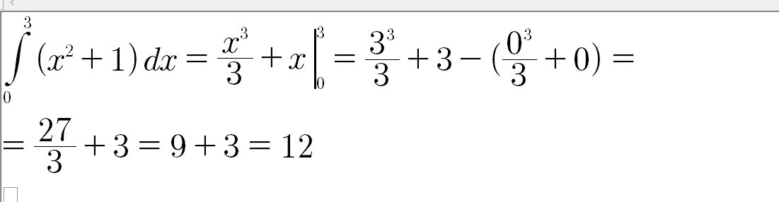
• найдите площадь криволинейной трапеции ограниченной графиком функции f(x)=x^2+1 на отрезке [0;3]

Ответы 1

  • см скрин=============================
    answer img
  • Добавить свой ответ

Войти через Google

или

Забыли пароль?

У меня нет аккаунта, я хочу Зарегистрироваться

How much to ban the user?
1 hour 1 day 100 years