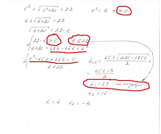
• Откуда взялись цифры и буквы и что они означают, обведенные красным, пожалуйста, объясните, прошу вас!

    question img

Ответы 3

  • Форматирование радостно исчезло.
    • Автор:

      isabella
    • 6 лет назад
    • 0
  • СПАСИБО ОГРОМНОЕ, пару вопросов, почему t <= 22, откуда мы это взяли
    • Автор:

      chewbacca
    • 6 лет назад
    • 0
  • Буквы используются для замены переменных. То есть мы заменяем x^2 на t, чтобы было проще решать. Так как x^2 всегда положителен, t >= 0.Получаем уравнение t + sqrt(t + 20) = 22Переносим t вправо, получаемsqrt(t + 20) = 22 - tДалее нужно решить это уравнение. Для этого необходимо1. Чтобы корень был больше или равен нулю.2. Возвети обе стороны уравнения в квадрат. Отсюда получаем систему уравнений.Решаем её. Получаем, что 1. Значение t должно быть <= 222. t1 = 29 или t2 = 16.t = 29 не отвечает условию t <= 22, поэтому мы пишем, что это t не подходит.t = 16 подходит.Выполняем обратную подчтановку:t = x^2 = 16x = 4 или x = -4.P.S. sqrt(...) - квадратный корень.Как-то так.
  • Добавить свой ответ

Войти через Google

или

Забыли пароль?

У меня нет аккаунта, я хочу Зарегистрироваться

How much to ban the user?
1 hour 1 day 100 years