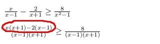
• Откуда мы взяли эту строку??? Если привели к общему знаменателю, ТО КАК УМОЛЯЮ ОБЪЯСНИТЕЕЕЕЕЕ!!

    question img

Ответы 2

  • Вы возводите не только знаменатель, но и числитель. И верхнюю строчку умножение на доп. множитель и нижнюю умножаете на доп. множитель
    • Автор:

      kujo
    • 6 лет назад
    • 0
  • Числитель, как и знаменатель возводится в доп. множетель. Надеюсь понятно.
    • Автор:

      ava5
    • 6 лет назад
    • 0
  • Добавить свой ответ

Войти через Google

или

Забыли пароль?

У меня нет аккаунта, я хочу Зарегистрироваться

How much to ban the user?
1 hour 1 day 100 years