• Решите пожалуйста!
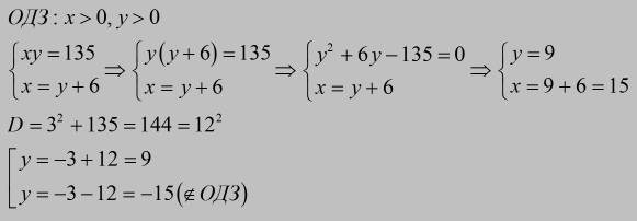
    Произведение двух положительных чисел равно 135,одно из чисел на 6 меньше другого . Найти меньшее из этих чисел

Ответы 1

  • !!!!!!!!!!!!!!!!!!!!!!!!!!!!!!!!!!!!!!!!!!!
    answer img
  • Добавить свой ответ

Еще вопросы

Войти через Google

или

Забыли пароль?

У меня нет аккаунта, я хочу Зарегистрироваться

How much to ban the user?
1 hour 1 day 100 years