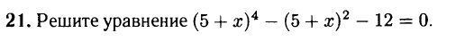
• Помогите решить биквадратное уравнение пожалуйста!!! Фото прилагается

    question img

Ответы 1

  • введем  замену переменныхпусть (5+х)² = у, тогда получиму²-у-12=0D = 1+48=49у₁=(1-7)/2 = -3у₂=(1+7)/2 = 4сделаем обратную замену(5+х)² = -3   - нет решений(5+х)² = 4, тогда5+х=2  или 5+х = -2х =3    или    х = -7Ответ: { -7;3}
    • Автор:

      nellie
    • 6 лет назад
    • 0
  • Добавить свой ответ

Войти через Google

или

Забыли пароль?

У меня нет аккаунта, я хочу Зарегистрироваться

How much to ban the user?
1 hour 1 day 100 years