• Помогите решить! Алгебра, 8 класс, отрицательные степени

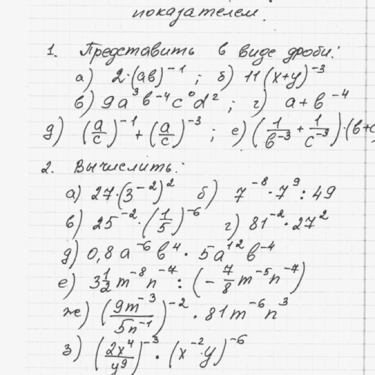
    question img

Ответы 1

  • 1. а)2/(ab);б) 11/(x+y)^3; в) 9*(а^3)*(с^не видно каком)*(d^2)/(b^4);г) а+1/(b^4)= (a*(b^4)+1)/(b^4);д) с/а+(c^3)/(a^3)=(c*(a^2)+(c^3))/(a^3);е) (b³+c³)/(b+c) там степень не видно, но без минуса.2.а) ⅓;б)1/7;в) 625;г) 1/9;д) 4а^6;e)-4m^-3;ж) 25n^5;з) (y^21)/(8x^14).
  • Добавить свой ответ

Войти через Google

или

Забыли пароль?

У меня нет аккаунта, я хочу Зарегистрироваться

How much to ban the user?
1 hour 1 day 100 years