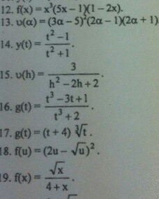
• ПОМОГИТЕ ПОЖАЛУЙСТА! Найдите производную функции
    ( С подробным решением)

    question img

Ответы 1

  • а какой ты класс?Я спрашиваю потому что я 3 класс
  • Добавить свой ответ

Войти через Google

или

Забыли пароль?

У меня нет аккаунта, я хочу Зарегистрироваться

How much to ban the user?
1 hour 1 day 100 years