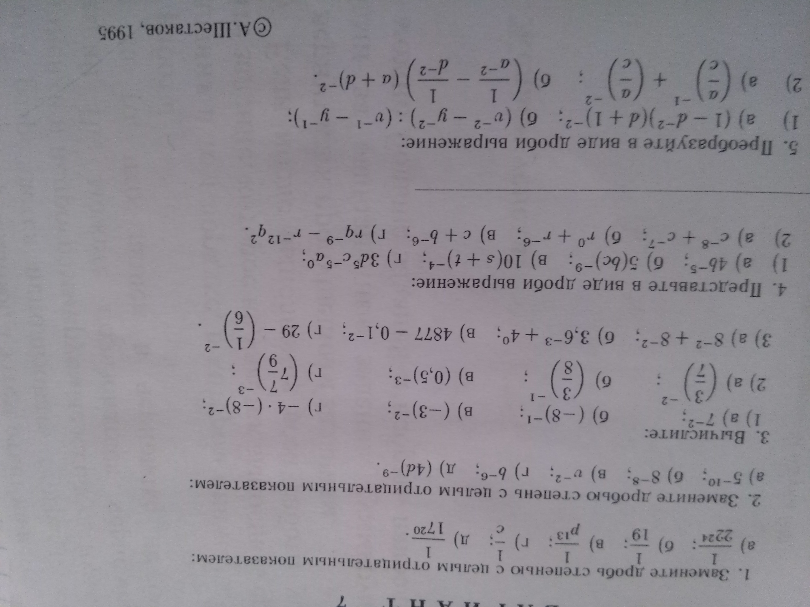
• 3 задание, 3 строка вообще не понимаю, как это делать

    question img

Ответы 2

  • Как это все получилось?
  • 1)-1282)46.6563)4877.014)29.1 дробная черта 36
    • Автор:

      chasity
    • 6 лет назад
    • 0
  • Добавить свой ответ

Войти через Google

или

Забыли пароль?

У меня нет аккаунта, я хочу Зарегистрироваться

How much to ban the user?
1 hour 1 day 100 years