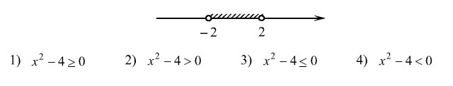
• Решение какого из данных неравенств изображено на рисунке?

    question img

Ответы 1

  • Если уравнение / неравенство ( в нашем случае) квадратное ( есть x в квадрате) то решаем с помощью метода интервалов.Комментарии к решению:1) Как определить выколотая точка на отрезке или закрашенная?Это зависит от знака: Если знак больше или равно / меньше или равно, то точка закрашенная, а если просто больше / меньше, то  выколотая.2) Как определить, где "+", а где "-" на отрезке, когда решаем с помощью интервалов. В нашем случаи: мы подставляем на отрезке число "0" и в само неравенство (0^2 - 4 = -4, значит в области на отрезке, где число "0". будет стоять "-", то есть отрицательные числа, а по краям "+". т.к. по правилу мы чередуем знаки.3) Как закрасить нужную область, смотрите по знакам, если x<0, то "-", если x>0, то "+".ОТВЕТ: 4. (x^2-4<0)
    answer img
    • Автор:

      wizygbw
    • 6 лет назад
    • 0
  • Добавить свой ответ

Еще вопросы

Войти через Google

или

Забыли пароль?

У меня нет аккаунта, я хочу Зарегистрироваться

How much to ban the user?
1 hour 1 day 100 years