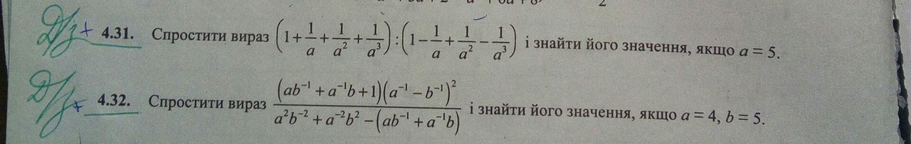
• Упростить 2 выражение!!!!! Полностью расписать, как делали. Желательно сфоткать! ПОООЖАЛУУУЙСТА РЕБЯТ)))))

    question img

Ответы 1

  • 1+3/125=1,024 : 1-1/5=-0,8
    • Автор:

      kobejnkk
    • 6 лет назад
    • 0
  • Добавить свой ответ

Войти через Google

или

Забыли пароль?

У меня нет аккаунта, я хочу Зарегистрироваться

How much to ban the user?
1 hour 1 day 100 years