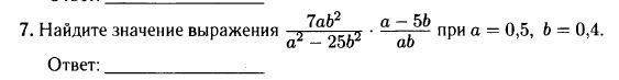
• Найдите решение выражения, прошуу!! Ответ должен получиться 1,12

    question img

Ответы 1

  • 7ab^2           a-5b           7ab^2(a-5b)        7b        7 * 0,4              2,8-------------- * -----------= ------------------- = --------- = -------------- = ---------- =  1,12a^2-25b^2      ab          (a-5b)(a+5b)ab    a+5b      0,5+5*0,4       2,5
    • Автор:

      skinner
    • 6 лет назад
    • 0
  • Добавить свой ответ

Войти через Google

или

Забыли пароль?

У меня нет аккаунта, я хочу Зарегистрироваться

How much to ban the user?
1 hour 1 day 100 years