• Решите, пожалуйста! Сфотографируйте ответ на листочке. Даю 29 баллов.

    question img

Ответы 1

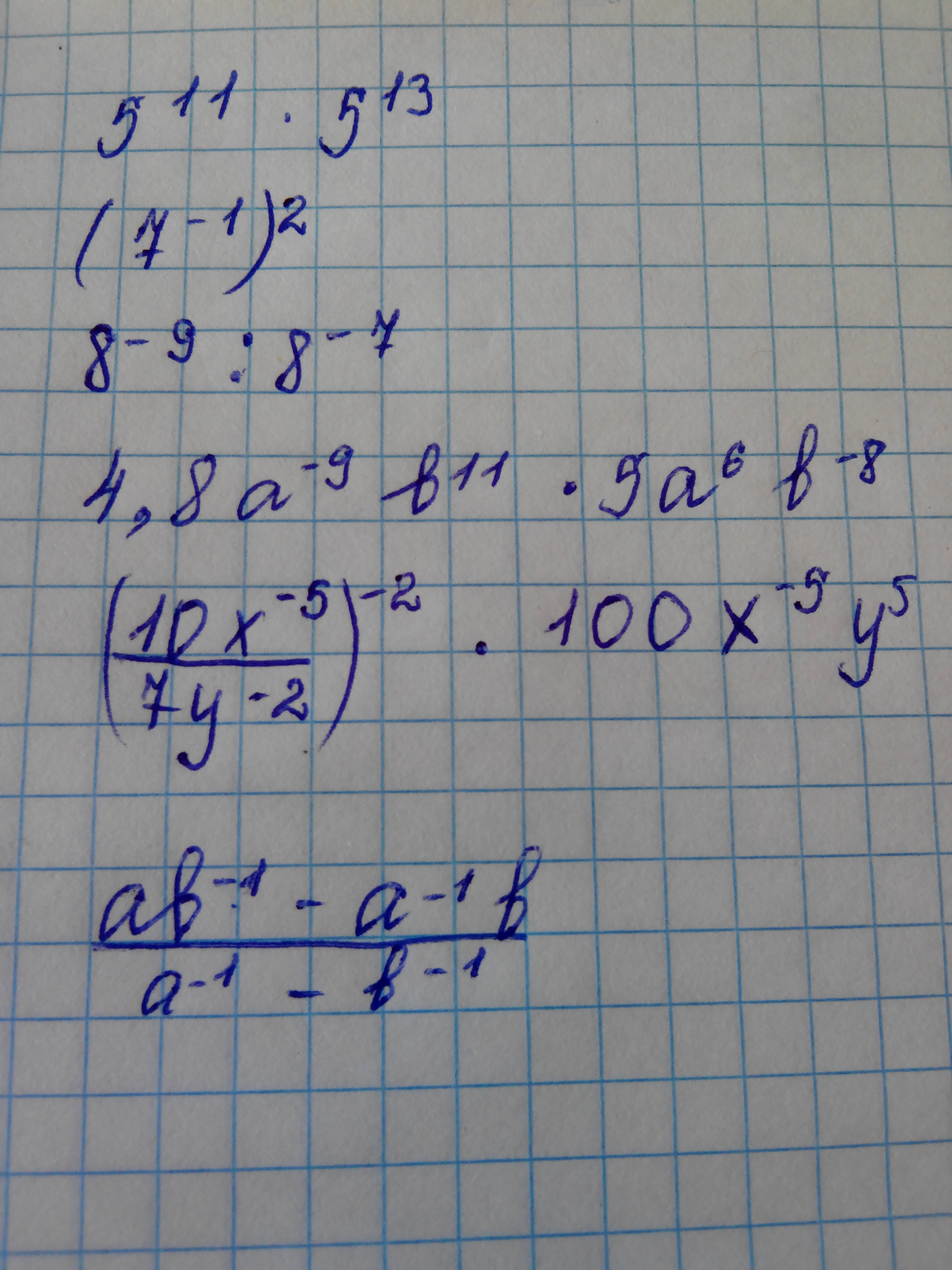
  • 5 ¹¹ * 5 ¹³ = 5 ²⁴( 7 ⁻ ¹ ) ² = 7 ⁻ ² 8 ⁻ ⁹ * 8 ⁻ ⁷ = 8 ⁻ ¹⁶4,8a⁻⁹b¹¹ * 5a⁶b⁻⁸ = 24a⁻³b³( 10x⁻⁵ / 7y⁻² )⁻² * 100x⁻⁵y⁵ = ( 10¹°x¹⁰ / 7⁻²y⁴ ) * 10²x⁻⁵y⁵ = ( 10¹²x⁵/y⁵ ) / ( 7⁻²y⁴ ) == 10¹² * 7² * x⁵ * y ( ab⁻¹ - a⁻¹b ) / ( a⁻¹ - b⁻¹ ) = (( a/b ) - (b/a )) / ( ( 1/a ) - ( 1/b )) = ( ( a² - b² ) / ab )// (( b - a )/ab ) = ( ( a - b )( a + b ) /ab ) * ( ab / ( b - a )) = - ( a + b ) = - a - b
  • Добавить свой ответ

Войти через Google

или

Забыли пароль?

У меня нет аккаунта, я хочу Зарегистрироваться

How much to ban the user?
1 hour 1 day 100 years