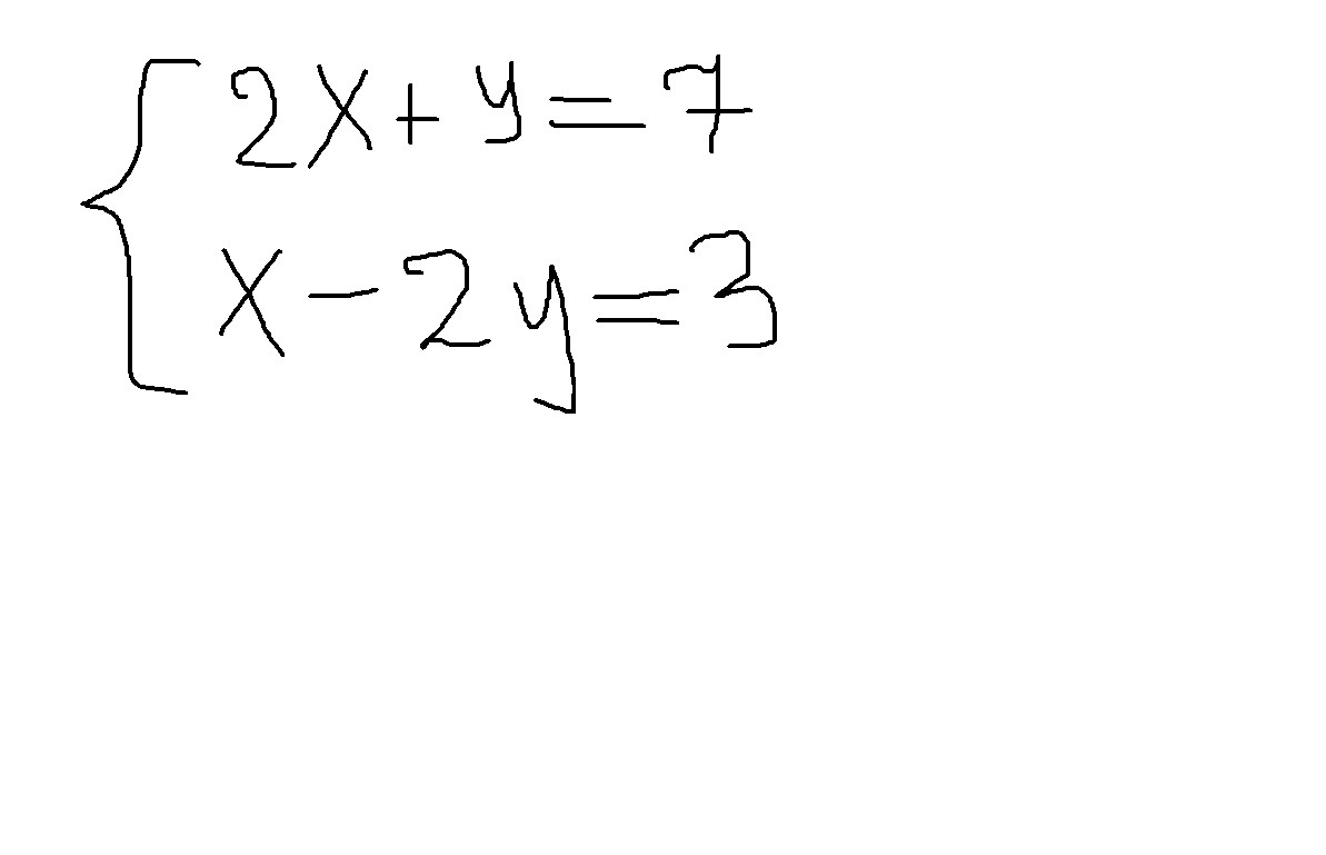
• Помогите пожалуйста решить систему уравн. Я никак не могу понять :-(

    question img

Ответы 3

  • Неверно.
    • Автор:

      quinn
    • 6 лет назад
    • 0
  • )))))))))))))))))))))
    answer img
  • Умножаем вторую часть на минус 2.2х+y=7-2х+4y=-6Икс уходит. Решаем способом сложения.5y=1y= 0, 22х + 0.2 =72х=7-0.22х=6.8х=6.8 : 2х=3.4Можем проверить ответ (просто подставить вместо букв полученные цифры) :2*3.4+0.2=73.4-2*0.2=3Всё верно)
    answer img
  • Добавить свой ответ

Войти через Google

или

Забыли пароль?

У меня нет аккаунта, я хочу Зарегистрироваться

How much to ban the user?
1 hour 1 day 100 years