• Сделайте на листочке сроочно плиииз, фото выложите сюда

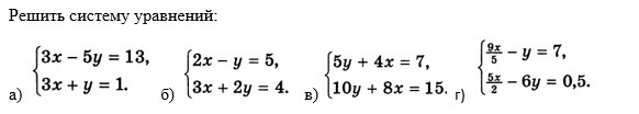
    question img

Ответы 1

  • Списал второй неверно, поэтому и начиркал, уж извини!
    answer img
  • Добавить свой ответ

Еще вопросы

Войти через Google

или

Забыли пароль?

У меня нет аккаунта, я хочу Зарегистрироваться

How much to ban the user?
1 hour 1 day 100 years