• СРОЧНО!! ДАЮ 40 БАЛЛОВ. Решите уравнение: смотрите картинку

    question img

Ответы 3

  • Спасибо огромное, но что это за знак ? ^
  • Степень
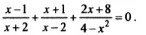
  • х–1 х+1 2х+8------ + ------ – --------- = 0 х+2 х–2 х^2–4ОДЗ: х не равно -2 и 2(х–1)(х–2)+(х+1)(х+2)–2х–8-------------------------------------- = 0 (х^2–4)х^2–2х–х+2+х^2+2х+х+2–2х–8----------------------------------------------- = 0 (х^2–4)2х^2–2х–4=0х^2–х–2=0х1+х2=1х1•х2=–2х1=2; х2=–1Ответ: х=–1
  • Добавить свой ответ

Войти через Google

или

Забыли пароль?

У меня нет аккаунта, я хочу Зарегистрироваться

How much to ban the user?
1 hour 1 day 100 years