• Представь в виде произведения 1−x27u9

Ответы 1

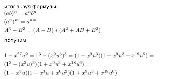
  • используя формулы:(ab)^n=a^nb^n(a^n)^m=a^{nm}A^3-B^3=(A-B)*(A^2+AB+B^2)получим1-x^{27}u^9=1^3-(x^9u^3)^3=(1-x^9u^3)(1+x^9u^3+x^{18}u^6)=(1^3-(x^3u)^3)(1+x^9u^3+x^{18}u^6)=(1-x^3u)(1+x^3u+x^6u^2)(1+x^9u^3+x^{18}u^6)
    answer img
  • Добавить свой ответ

Войти через Google

или

Забыли пароль?

У меня нет аккаунта, я хочу Зарегистрироваться

How much to ban the user?
1 hour 1 day 100 years