• СРООООООЧЧЧЧЧНОООООО Пожалуйста, помогите

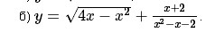
    Найдите область определения функции.

    question img

Ответы 1

  • Ответ: корень с 5, вроде бы
    • Автор:

      erinq1yl
    • 6 лет назад
    • 0
  • Добавить свой ответ

Войти через Google

или

Забыли пароль?

У меня нет аккаунта, я хочу Зарегистрироваться

How much to ban the user?
1 hour 1 day 100 years