• Помогите пожалуйста решить!!! Очень срочно!!! Даю 20 баллов

    question img

Ответы 1

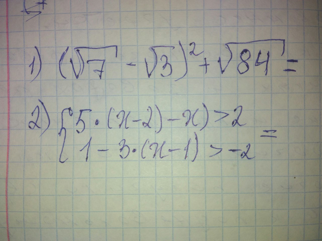
  • (√7 -√3)²+√84=7 -2√21+3+√84=10-√21+√(4*21)=10-√21+2√21=10+√215(х-2)-х>21-3(x-1)> -25x -10 -x>21-3x+3> -24x>8 -3x> -6x>2x<22<x<2(2,1; 2,2.....2,9)
  • Добавить свой ответ

Войти через Google

или

Забыли пароль?

У меня нет аккаунта, я хочу Зарегистрироваться

How much to ban the user?
1 hour 1 day 100 years